Overview
Examples
Screenshots
Comparisons
Applications
Download
Documentation
Tutorials
Bazaar
Status & Roadmap
FAQ
Authors & License
Forums
Funding Ultimate++
Search on this site
Search in forums
Members
Pages
Search
Help
Register
Login
Home
Home
»
Developing U++
»
UppHub
»
Bazaar/STEM4U: Added Catenary functions
Show:
Today's Messages
::
Show Polls
::
Message Navigator
E-mail to friend
Bazaar/STEM4U: Added Catenary functions
[
message #55811
]
Thu, 17 December 2020 08:18
koldo
Messages:
3454
Registered:
August 2008
Senior Veteran
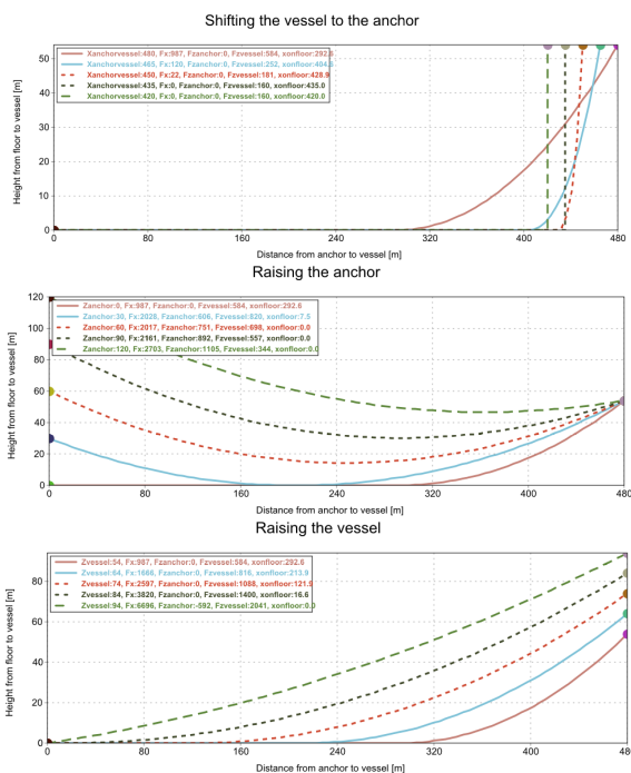
Catenary functions for single mooring line calculations considering sagging and sea bottom.
Reference is
here
.
Attachment:
Cap559.png
(Size: 157.90KB, Downloaded 525 times)
Best regards
IƱaki
Report message to a moderator
Previous Topic:
Flatbuffers package
Next Topic:
Bazaar/GTestUIExample
Goto Forum:
- Community
U++ community news and announcements
PR, media coverage, articles and documentation
U++ Webs: Functioning, Layout , Design, Features and Structure of these forums, homepage etc.
Coffee corner
Newbie corner
U++ based job offers
- Developing U++
U++ Developers corner
External resources
Releasing U++
UppHub
Bugs (& fixes)
Documentation
U++ TheIDE and Library: Releases and ChangeLogs
Mac OS
Android
- U++ Library support
U++ Library : Other (not classified elsewhere)
U++ Core
Look and Chameleon Technology
U++ Libraries and TheIDE: i18n, Unicode and Internationalization
U++ SQL
U++ MT-multithreading and servers
U++ Callbacks and Timers
U++ Widgets - General questions or Mixed problems
TopWindow&PopUp, TrayIcon
Menus&Toolbars
StatusBar&InfoCtrl
Splitter
TabCtrl
Slider&ProgressIndicator
ArrayCtrl, HeaderCtrl & GridCtrl
TreeCtrl
RichText,QTF,RTF...
LineEdit, EditFields, DocEdit
Draw, Display, Images, Bitmaps, Icons
FileSel&FileList, Path
CalendarCtrl
Skylark
ScatterDraw & ScatterCtrl
Archive
- U++ TheIDE
U++ TheIDE: Other Features Wishlist and/or Bugs
U++ TheIDE: Compiling, Linking, Debugging of your packages
U++ TheIDE: Installation, Compiling and Running of theide
U++ TheIDE: CodeEditor, Assist++, Topic++
U++ TheIDE: Packages
U++ TheIDE: Layout (Forms) Designer
U++ TheIDE: Icon designer
- Extra libraries, Code snippets, applications etc.
U++ users applications in progress and useful code snippets, including reference examples!
U++ Esc Interpreter, Esc Macros and templates
U++ and AI
C++ language problems and code snippets
Applications created with U++
OS Problems etc., Win32, POSIX, MacOS, FreeBSD, X11 etc
-=]
Back to Top
[=-
[
Syndicate this forum (XML)
] [
] [
]
Current Time:
Wed Feb 11 22:38:40 CET 2026
Total time taken to generate the page: 0.06093 seconds